Le conducteur à haute fréquence :Le simulateur démarre avec l'état des conducteurs en courant continu. Les valeurs dans la table ci-dessus nous indique
l'épaisseur de la surface conductive des trois matériaux ainsi que la résistance correspondante par 1 mètre de longueur. Au départ, l'épaisseur de la surface conductive δ est
égale au diamètre du conducteur égal à 1020 µm (#18 AWG). La commande de la fréquence f nous permet une variation de cette dernière entre 100 kHz et 1000 kHz ou 1 MHz.
Au fur et à mesure que la fréquence augmente les électrons ont tendance à s’éloigner du centre du conducteur et en conséquence réduisant la surface effective de la section de
ce dernier. Ce phénomène est nommé l’effet pelliculaire ou l’effet ‘skin’, il est aussi connu par l’effet Kelvin. Le simulateur nous démontre la surface où les électrons sont
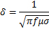
confinés. Cette surface est d'une épaisseur δ donnée par l'équation suivante :
